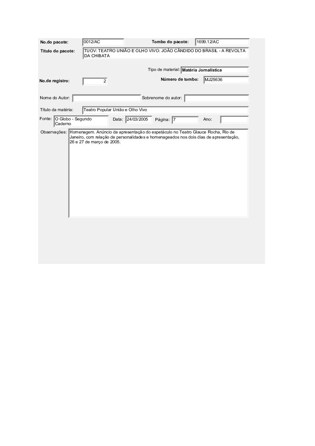
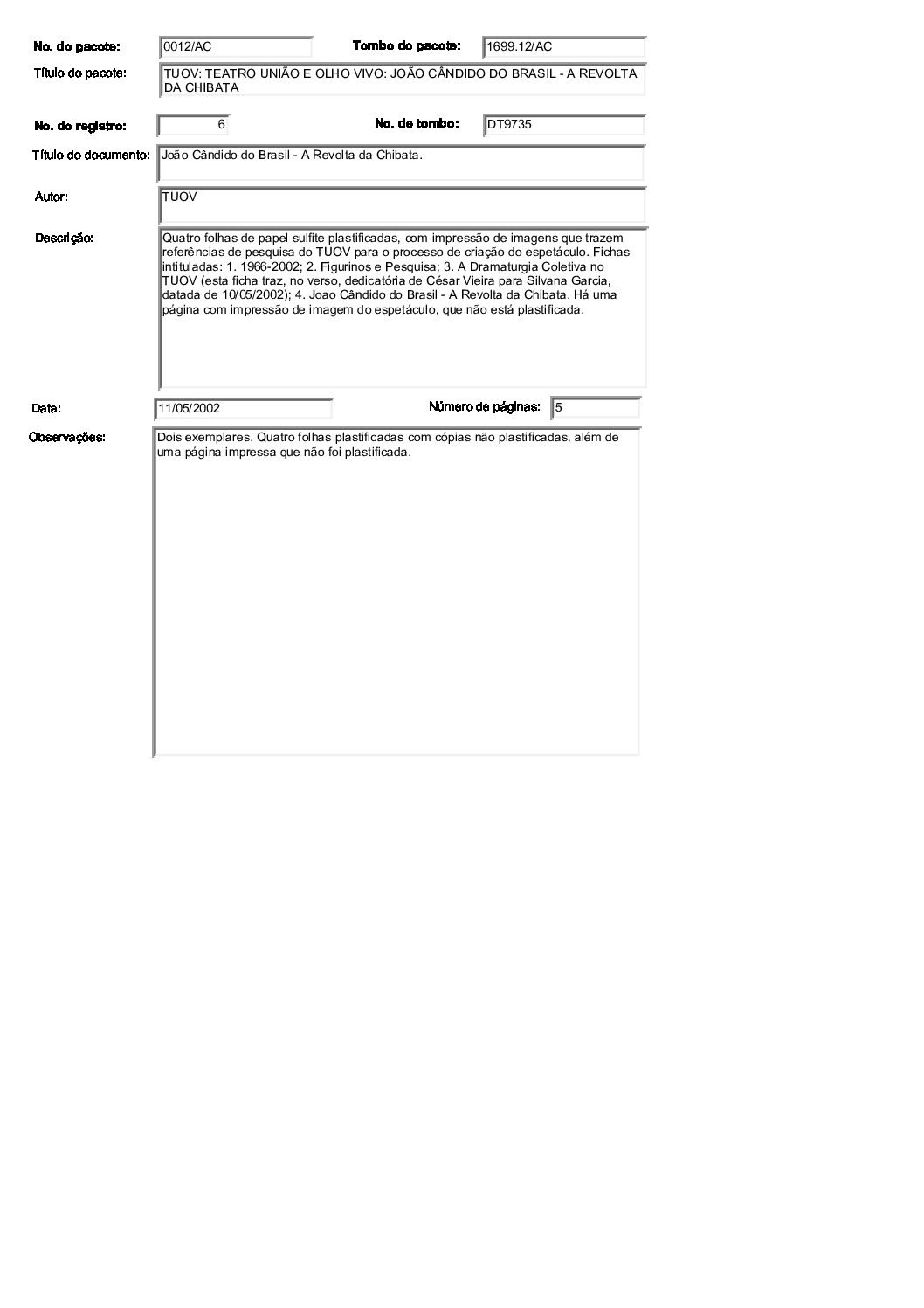
• TEATRO UNIÃO E OLHO VIVO: JOÃO CÂNDIDO DO BRASIL – A REVOLTA DA CHIBATA

  • Voltar

Documento

Anexos

DESCRIÇÃO

Ir para o conteúdo